Data Hackathon 2025

Now or Later?
Decoding Intertemporal Choice

A large-scale analysis of when and why people choose smaller-sooner rewards over larger-later ones — with predictive models and actionable recommendations for streaming subscription tier optimization.

800k+ Trials analyzed
20+ Countries
~1.29× Tipping ratio
3 Predictive models
01 — Overview

The Problem

Intertemporal choice — the trade-off between a smaller, sooner reward (SS) and a larger, later one (LL) — is fundamental to decisions in finance, health, and product design. We analyzed a large multi-study dataset to uncover the key factors driving these choices, identify tipping points, and derive actionable design recommendations.

Core question: What makes people willing to wait for a bigger reward — and how large does the incentive gap need to be before they switch from "now" to "later"?
02 — Data Cleaning

Preparing the Dataset

Raw data spanned multiple studies with heterogeneous formats. Our cleaning pipeline enforced consistent typing, removed flagged exclusions, and preserved data richness while controlling outliers.

Step 01
Type Enforcement
Coerced choice to binary 0/1, numeric columns to float, trimmed string IDs.
Step 02
Missing Values
Dropped rows missing core columns: SS/LL values and times.
Step 03
RT Outliers
Winsorized response times at the 99.5th percentile — capped, not deleted.
Step 04
Exclusions
Removed subject- and trial-level exclusions flagged by original study authors.
Design choice: We winsorized RT rather than dropping extreme rows, preserving data richness while reducing the impact of outliers on downstream analysis.
03 — Key Findings

What the Data Tells Us

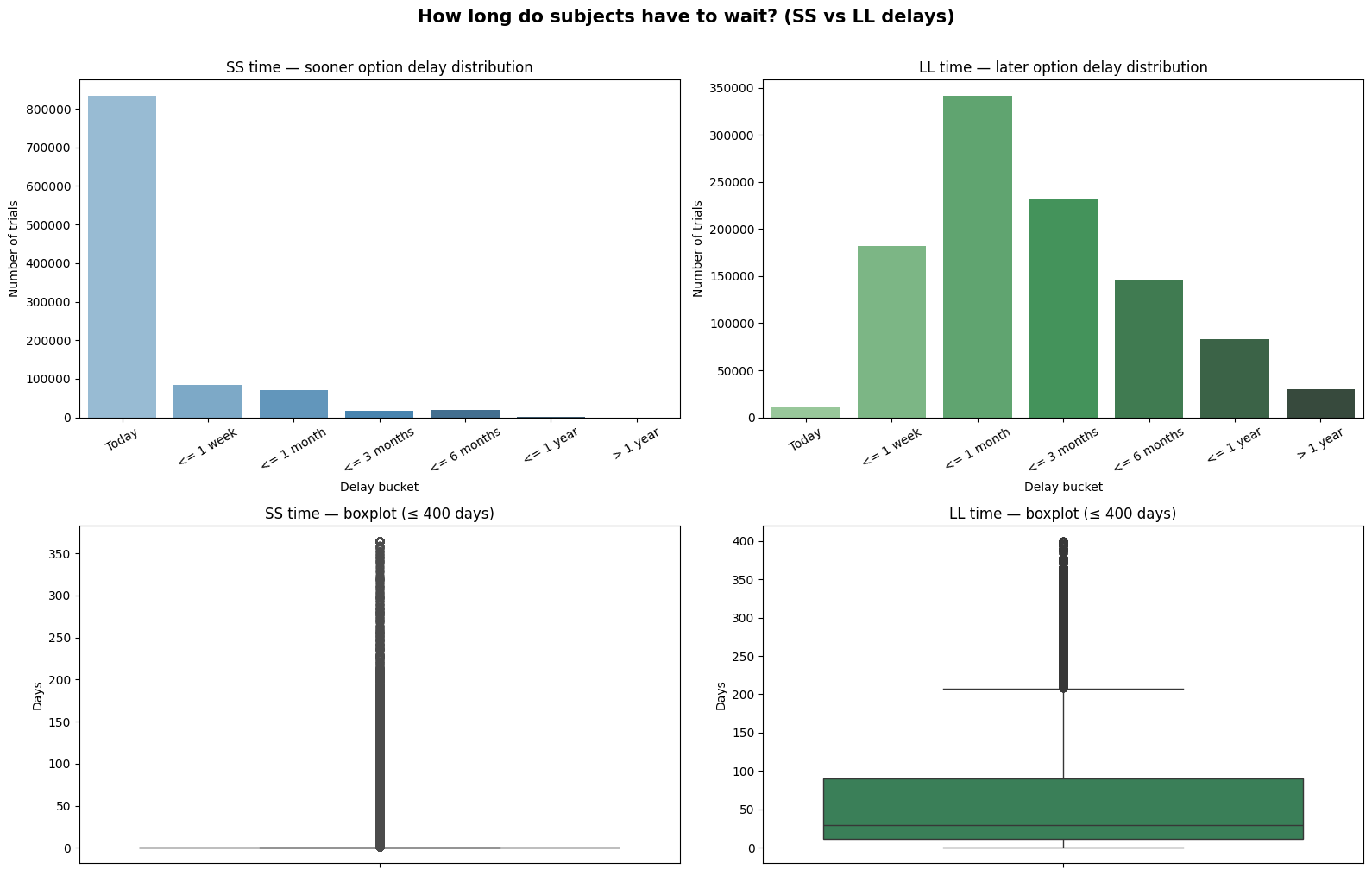
Delay Structure: What's the Typical Trade-Off?

Most SS options are immediate (81% at 0 days), while LL delays center around ~30 days. The typical trial presents a "now vs. one month" trade-off, though extreme outliers exist in both tails.

SS vs LL Delay Distributions Q1
Delay distributions
Top: count of trials per delay bucket (SS mostly "Today"; LL peaks at ≤ 1 month). Bottom: boxplots of raw delay in days, capped at 400 for readability.

Overall Choice Distribution

Across all trials, the dataset is roughly balanced between SS and LL choices, indicating no extreme global bias toward patience or impatience.

SS vs LL Choice Split Q2
Choice distribution

The Tipping Point: How Big Must the Reward Gap Be?

We computed the reward ratio (LL value ÷ SS value) and binned it into deciles. The LL choice rate climbs steadily — crossing the 50% mark at approximately 1.29×. Below that, most people take the immediate option; above it, patience wins.

~1.29×
Tipping ratio (LL ≥ 50%)
↑ Monotonic
LL rate trend with ratio
~2.0
Median reward ratio
LL Rate vs Reward Ratio & Ratio by Choice Q3
Reward ratio analysis
Left: LL choice rate (%) rising with reward ratio bin midpoint. Right: boxplot confirming LL choices cluster at higher ratios than SS choices.
Business implication: Users need the larger-later option to be at least ~29% more valuable before they'll choose to wait. Design upgrade offers accordingly — a thin value gap loses to the immediate option.

Geographic Variation

LL choice rates vary meaningfully across countries (filtered to n>500 trials each). However, country is a coarse proxy — experimental design, sample demographics, and study context differ across geographies, so these differences should not be interpreted as pure cultural effects.

LL Choice Rate by Country Q4
Country analysis

Age & Decision Behavior

We binned participants into granular age groups to avoid hiding real distributional patterns. Younger adults show faster, more consistent response times, while older adults are slower and more variable. The relationship between age and patience (LL rate) is non-linear.

LL Choice Rate by Age Group Q5a
Age vs choice
Response Time Distribution by Age Group Q5b
RT by age group
Speed slows with age and consistency decreases — older groups include both fast and very slow responders.

Does Difficulty Slow People Down?

We tested whether higher reward ratios (easier decisions) lead to faster responses. The correlation is negligible — response time appears largely independent of the reward gap in this dataset.

Response Time vs Reward Ratio Q6
RT vs reward ratio

Context Matters: Procedure, Incentives & Setting

Task type (procedure) showed the largest spread in LL rates — roughly 30 percentage points across categories. Online vs. in-lab produced a smaller but real ~8pp gap. Incentive framing had minimal impact (~4pp).

Context Variables vs Patience Q7
Context variables
Procedure dominates observed patience differences. Online settings trend slightly more impatient.
Time Pressure Effects Q7b
Time pressure
Presentation of Information vs Choice Q7c
Presentation format
Practical takeaway: Before claiming segment differences in patience, experiment format and channel context must be controlled or disclosed — task design drives more variation than individual traits in this dataset.
04 — Feature Importance

What Predicts Choice?

We ranked all available features by mutual information (MI) with the binary SS/LL choice. MI captures any statistical association — including non-linear relationships — making it a good first-pass ranking before modeling.

Mutual Information Ranking Q8
MI feature ranking
Reward amounts and delays rank highest (expected — they define the task). Context variables like procedure and incentivization matter for fair cross-study comparisons.
Interpretation note: High MI for reward amounts partly reflects task structure (every trial varies these quantities). Context variables with lower MI can still be critical for causal interpretation and study design.
05 — Predictive Modeling

Can We Predict Who Waits?

We trained three classifiers to predict SS (0) vs LL (1) choice using task-level features, behavioral signals, and contextual variables. Data was split 80/20 with stratified sampling, subsampled to 300k rows for training efficiency (seed = 42).

3
Models compared
17
Input features
80 / 20
Train / Test split

Why These Three Models?

Logistic Regression — our interpretability anchor. Signed coefficients tell us the direction and magnitude of each feature's effect. A positive coefficient for reward_ratio means higher ratios push toward LL (patience). This is what we use for business recommendations.

Random Forest — captures non-linear interactions (e.g., how age modifies the effect of reward ratio) without manual feature crossing. Feature importances confirm or challenge the MI ranking from our EDA.

XGBoost — our performance ceiling. Gradient boosting typically achieves the highest accuracy on tabular data, giving us a benchmark for how much signal exists in the features.

Model Accuracy & AUC-ROC Comparison Model
Model comparison
All three models substantially outperform the ~50% baseline. XGBoost leads on raw metrics, but Logistic Regression offers the best interpretability-to-performance trade-off.
ROC Curves Model
ROC curves
Confusion Matrices Model
Confusion matrices

What Drives Predictions?

Feature Importance Across Models Model
Feature importance
Logistic Regression Coefficients (Signed) Interpretability
LR coefficients
Green bars (positive) push toward LL / patience. Red bars (negative) push toward SS / impatience. Reward ratio is the strongest positive predictor — confirming our EDA tipping-point finding.
Model selection rationale: We prioritize Logistic Regression for business recommendations because its coefficients are directly interpretable as effect sizes. The RF and XGBoost models confirm that additional non-linear signal exists but adds only modest accuracy gains — validating that the key relationships are approximately linear in this domain.
06 — Business Application

Streaming Subscription Tier Optimization

Our intertemporal choice models map directly to the streaming platform decision: SS (free/ad-supported tier) = immediate gratification at lower value, vs. LL (premium tier) = delayed payoff with higher long-term experience quality.

Core question: When will a user choose the premium tier (higher cost, better long-term experience) over the free tier (instant access, ad-interrupted)? Our models answer this with quantified thresholds and segment-level predictions.

From Behavioral Science to Platform Strategy

💰
Pricing the Premium Tier
Our 1.29× tipping point means: if the free tier delivers ~$10/month in perceived utility, the premium must deliver at least ~$12.90. Pricing below this ratio will result in majority free-tier retention.
🎯
Predicting Convertible Users
Our model predicts LL-tendency (premium-readiness) per user profile. Focus marketing spend on users whose behavioral signals predict patience — they convert and retain at higher rates.
📣
Upgrade Prompt Design
Procedure type drives ~30pp variation in patience. A/B test HOW the upgrade is presented (value framing vs. loss aversion vs. social proof) before segmenting by demographics.
📱
Channel-Specific Strategy
Online/mobile users trend ~8pp more impatient. Mobile upgrade prompts need a stronger value pitch; emphasize immediate benefits ("start watching ad-free tonight").

Customer Lifetime Value Segmentation

Our model outputs enable a two-track CLV strategy based on predicted patience profiles:

Predicted LL
High-Patience Segment
Higher expected retention. Target with annual plans and long-term value messaging. Lower churn risk — invest in relationship depth.
Predicted SS
Impatience Segment
Target with trial offers and month-to-month flexibility. Emphasize instant benefits. Monitor churn triggers and intervene with retention offers.
Key insight from LR coefficients: The reward_ratio coefficient is the strongest positive predictor of LL choice. Translating to streaming: for every 10% increase in the premium tier's perceived value proposition, the probability of choosing the long-term subscription increases meaningfully — quantifiable from the model's coefficient directly.
07 — Recommendations

Actionable Takeaways

Recommendations